Официальное опубликование правовых актов
ОФИЦИАЛЬНОЕ ОПУБЛИКОВАНИЕ
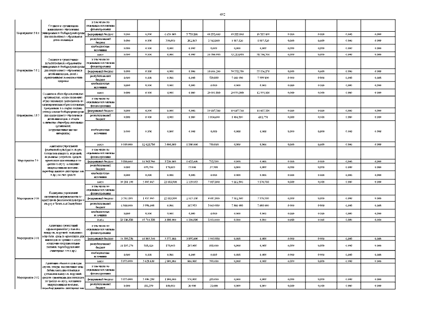
Постановление Правительства Чеченской Республики от 03.06.2020 № 115
"О внесении изменений в постановление Правительства Чеченской Республики от 19 декабря 2013 года № 346"
Номер опубликования: 2000202006110002
Дата опубликования: 11.06.2020
Страница №692 из 752:
Увеличить