Официальное опубликование правовых актов
ОФИЦИАЛЬНОЕ ОПУБЛИКОВАНИЕ
Закон Чеченской Республики от 27.01.2020 № 9-рз
"О ВНЕСЕНИИ ИЗМЕНЕНИЙ В НЕКОТОРЫЕ ЗАКОНОДАТЕЛЬНЫЕ АКТЫ ЧЕЧЕНСКОЙ РЕСПУБЛИКИ"
Номер опубликования: 2000202001310004
Дата опубликования: 31.01.2020
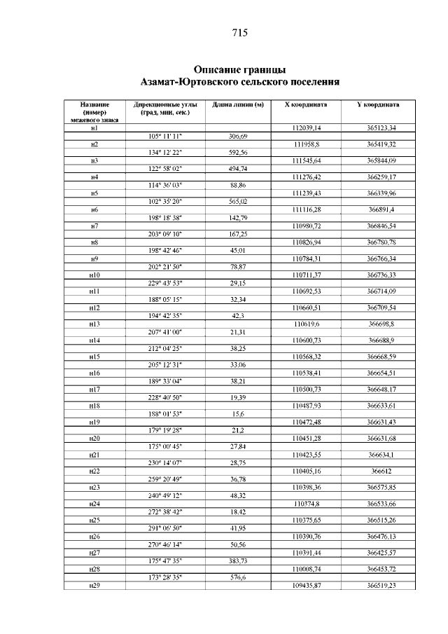
Страница №715 из 732:
Увеличить