Официальное опубликование правовых актов
ОФИЦИАЛЬНОЕ ОПУБЛИКОВАНИЕ
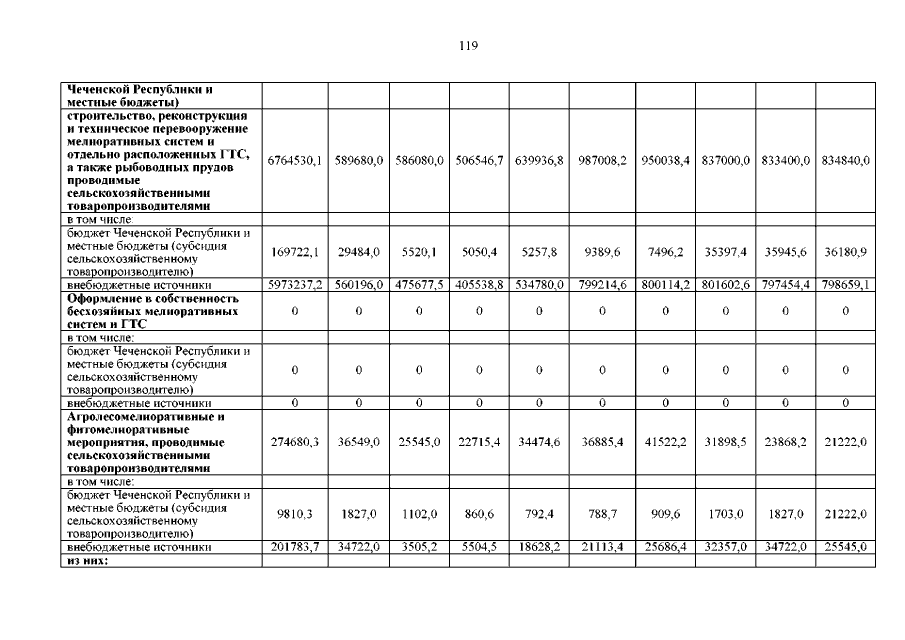
Постановление Правительства Чеченской Республики от 26.12.2019 № 285
"О внесении изменений в постановление Правительства Чеченской Республики от 3 декабря 2013 года № 312"
Номер опубликования: 2000201912300028
Дата опубликования: 30.12.2019
Страница №119 из 264:
Увеличить