Официальное опубликование правовых актов
ОФИЦИАЛЬНОЕ ОПУБЛИКОВАНИЕ
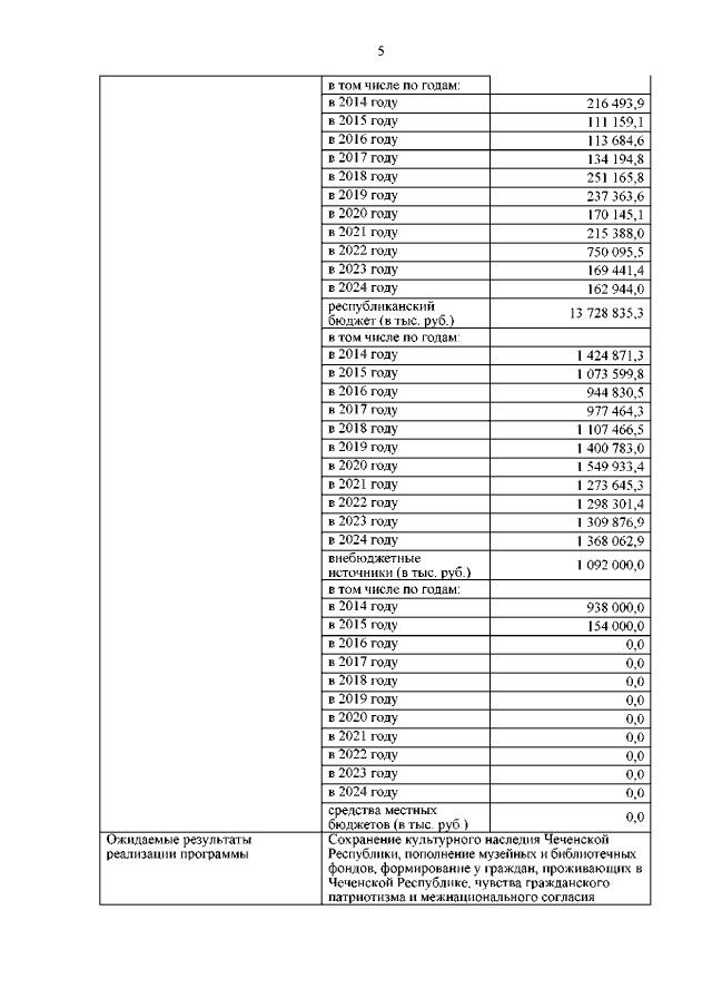
Постановление Правительства Чеченской Республики от 26.12.2019 № 296
"О внесении изменений в постановление Правительства Чеченской Республики от 19 декабря 2013 года № 336"
Номер опубликования: 2000201912300009
Дата опубликования: 30.12.2019
Страница №5 из 155:
Увеличить