Официальное опубликование правовых актов
ОФИЦИАЛЬНОЕ ОПУБЛИКОВАНИЕ
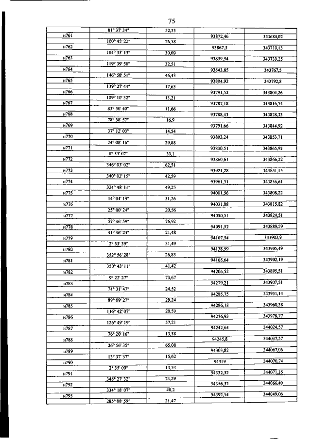
Закон Чеченской Республики от 19.11.2019 № 54-рз
"ОБ ИЗМЕНЕНИИ ГРАНИЦ ГУДЕРМЕССКОГО И КУРЧАЛОЕВСКОГО МУНИЦИПАЛЬНЫХ РАЙОНОВ ЧЕЧЕНСКОЙ РЕСПУБЛИКИ И ВНЕСЕНИИ ИЗМЕНЕНИЙ В НЕКОТОРЫЕ ЗАКОНОДАТЕЛЬНЫЕ АКТЫ ЧЕЧЕНСКОЙ РЕСПУБЛИКИ"
Номер опубликования: 2000201911220004
Дата опубликования: 22.11.2019
Страница №75 из 128:
Увеличить