Официальное опубликование правовых актов
ОФИЦИАЛЬНОЕ ОПУБЛИКОВАНИЕ
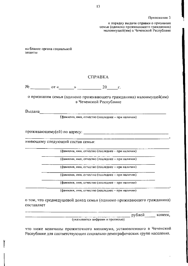
Постановление Правительства Чеченской Республики от 09.09.2019 № 161
"О порядке выдачи справки о признании семьи (одиноко проживающего гражданина) малоимущей(им) в Чеченской Республике"
Номер опубликования: 2000201909170001
Дата опубликования: 17.09.2019
Страница №13 из 14:
Увеличить