Официальное опубликование правовых актов
ОФИЦИАЛЬНОЕ ОПУБЛИКОВАНИЕ
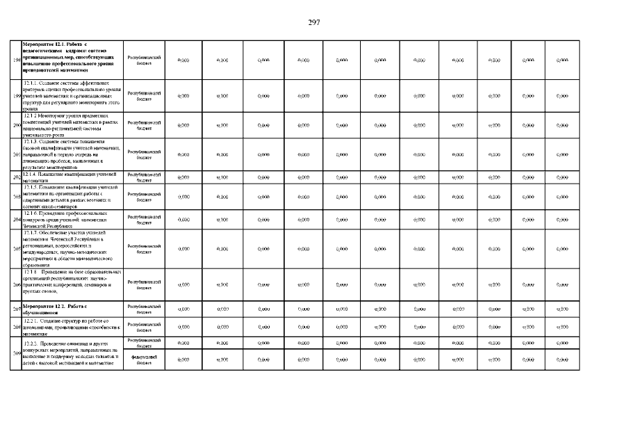
Постановление Правительства Чеченской Республики от 02.07.2019 № 94
"О внесении изменений в постановление Правительства Чеченской Республики от 19 декабря 2013 года № 345"
Номер опубликования: 2000201907100003
Дата опубликования: 10.07.2019
Страница №297 из 298:
Увеличить