Официальное опубликование правовых актов
ОФИЦИАЛЬНОЕ ОПУБЛИКОВАНИЕ
Постановление Правительства Чеченской Республики от 02.07.2019 № 102
"О внесении изменений в постановление Правительства Чеченской Республики от 19 декабря 2013 года № 354"
Номер опубликования: 2000201907080001
Дата опубликования: 08.07.2019
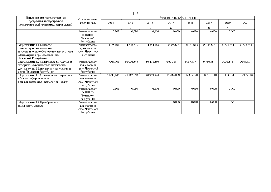
Страница №146 из 181:
Увеличить