Официальное опубликование правовых актов
ОФИЦИАЛЬНОЕ ОПУБЛИКОВАНИЕ
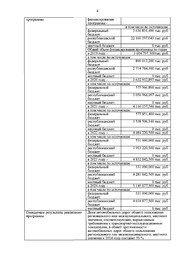
Постановление Правительства Чеченской Республики от 12.02.2019 № 30
"Об утверждении государственной программы Чеченской Республики "Развитие дорожной отрасли Чеченской Республики" на 2019-2024 годы"
Номер опубликования: 2000201902140004
Дата опубликования: 14.02.2019
Страница №4 из 135:
Увеличить