Официальное опубликование правовых актов
ОФИЦИАЛЬНОЕ ОПУБЛИКОВАНИЕ
Постановление Правительства Чеченской Республики от 25.01.2019 № 2
"О внесении изменений в постановление Правительства Чеченской Республики от 19 декабря 2013 года №330"
Номер опубликования: 2000201901300008
Дата опубликования: 30.01.2019
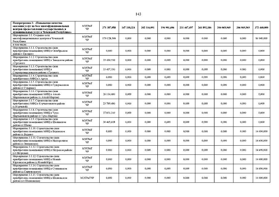
Страница №143 из 180:
Увеличить