Официальное опубликование правовых актов
ОФИЦИАЛЬНОЕ ОПУБЛИКОВАНИЕ
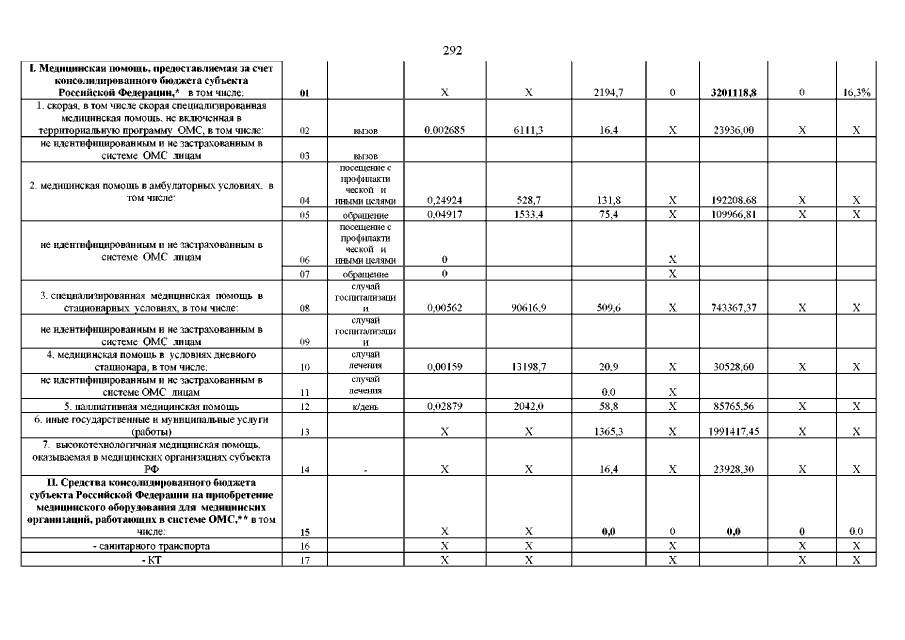
Постановление Правительства Чеченской Республики от 26.12.2018 № 311
"Об утверждении территориальной программы государственных гарантий бесплатного оказания гражданам медицинской помощи в Чеченской Республике на 2019 год и на плановый период 2020 и 2021 годов"
Номер опубликования: 2000201812280017
Дата опубликования: 28.12.2018
Страница №292 из 578:
Увеличить