Официальное опубликование правовых актов
ОФИЦИАЛЬНОЕ ОПУБЛИКОВАНИЕ
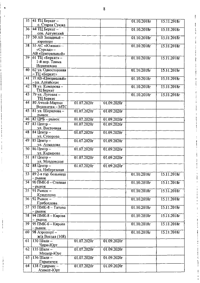
Постановление Правительства Чеченской Республики от 11.09.2018 № 197
"Об утверждении документа планирования регулярных перевозок пассажиров и багажа автомобильным транспортом по муниципальным и межмуниципальным маршрутам регулярных перевозок в Чеченской Республике на 2018-2022 годы"
Номер опубликования: 2000201809170012
Дата опубликования: 17.09.2018
Страница №8 из 12:
Увеличить