Официальное опубликование правовых актов
ОФИЦИАЛЬНОЕ ОПУБЛИКОВАНИЕ
Постановление Правительства Чеченской Республики от 07.08.2018 № 152
"О внесении изменений в постановление Правительства Чеченской Республики от 19 декабря 2013 года № 349"
Номер опубликования: 2000201808140010
Дата опубликования: 14.08.2018
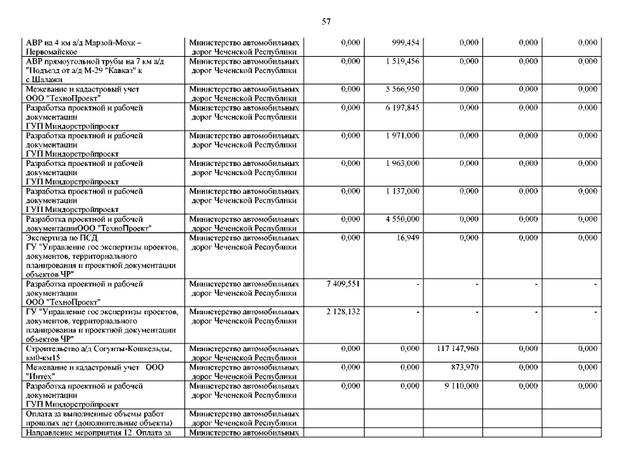
Страница №57 из 116:
Увеличить