Официальное опубликование правовых актов
ОФИЦИАЛЬНОЕ ОПУБЛИКОВАНИЕ
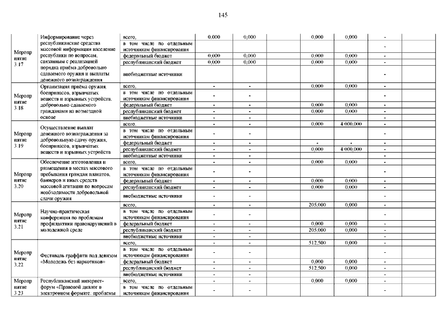
Постановление Правительства Чеченской Республики от 07.08.2018 № 163
"О внесении изменений в постановление Правительства Чеченской Республики от 19 декабря 2013 года № 317"
Номер опубликования: 2000201808130005
Дата опубликования: 13.08.2018
Страница №145 из 158:
Увеличить