Официальное опубликование правовых актов
ОФИЦИАЛЬНОЕ ОПУБЛИКОВАНИЕ
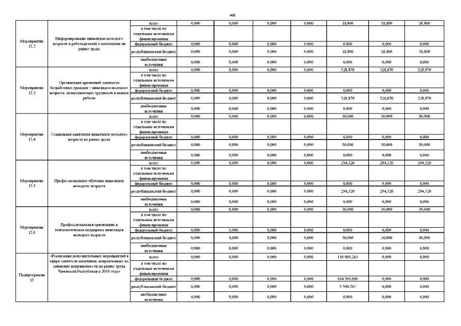
Постановление Правительства Чеченской Республики от 24.01.2018 № 1
"О внесении изменений в постановление Правительства Чеченской Республики от 19 декабря 2013 года № 346"
Номер опубликования: 2000201801260001
Дата опубликования: 26.01.2018
Страница №468 из 469:
Увеличить