Официальное опубликование правовых актов
ОФИЦИАЛЬНОЕ ОПУБЛИКОВАНИЕ
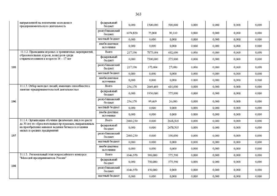
Постановление Правительства Чеченской Республики от 04.04.2017 № 76
"О внесении изменений в постановление Правительства Чеченской Республики от 19 декабря 2013 года № 345"
Номер опубликования: 2000201704100013
Дата опубликования: 10.04.2017
Страница №363 из 369:
Увеличить