Официальное опубликование правовых актов
ОФИЦИАЛЬНОЕ ОПУБЛИКОВАНИЕ
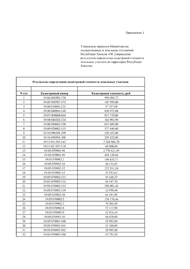
Приказ Министерства имущественных и земельных отношений Республики Хакасия от 08.11.2022 № 020-70-п
"Об утверждении результатов определения кадастровой стоимости земельных участков на территории Республики Хакасия"
(Зарегистрирован 15.11.2022 № 432)
Номер опубликования: 1901202211180001
Дата опубликования: 18.11.2022
Страница №3 из 7097:
Увеличить