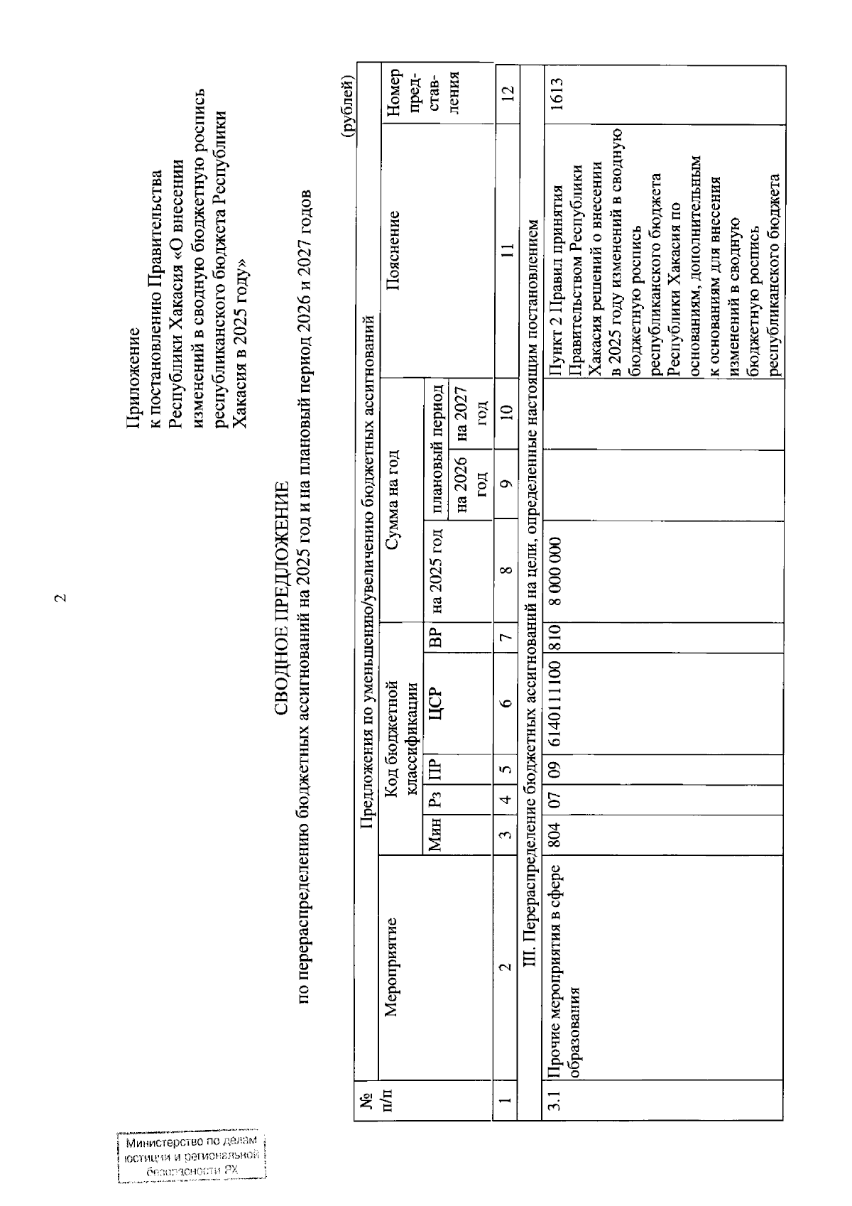
Постановление Правительства Республики Хакасия от 03.09.2025 № 457
"О внесении изменений в сводную бюджетную роспись республиканского бюджета Республики Хакасия в 2025 году"
"О внесении изменений в сводную бюджетную роспись республиканского бюджета Республики Хакасия в 2025 году"
Номер опубликования: 1900202509040001
Дата опубликования:
04.09.2025
