Официальное опубликование правовых актов
ОФИЦИАЛЬНОЕ ОПУБЛИКОВАНИЕ
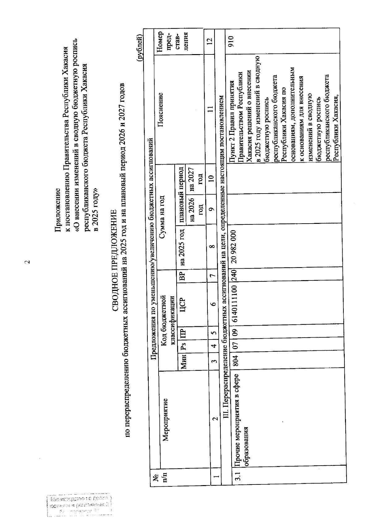
Постановление Правительства Республики Хакасия от 10.06.2025 № 316
"О внесении изменений в сводную бюджетную роспись республиканского бюджета Республики Хакасия в 2025 году"
Номер опубликования: 1900202506100001
Дата опубликования: 10.06.2025
Страница №2 из 9:
Увеличить