Официальное опубликование правовых актов
ОФИЦИАЛЬНОЕ ОПУБЛИКОВАНИЕ
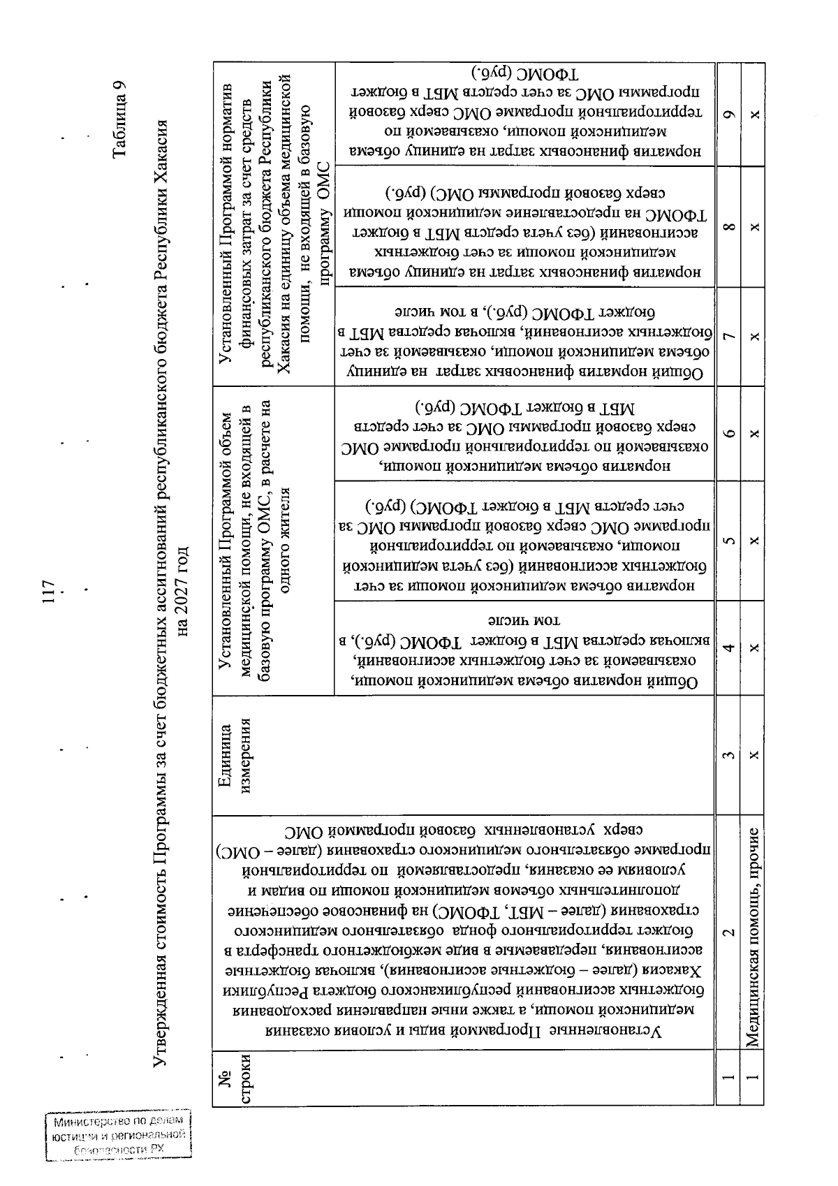
Постановление Правительства Республики Хакасия от 14.03.2025 № 117
"О внесении изменений в территориальную программу государственных гарантий бесплатного оказания гражданам медицинской помощи на территории Республики Хакасия на 2025 год и на плановый период 2026 и 2027 годов, утвержденную постановлением Правительства Республики Хакасия от 28.12.2024 № 839"
Номер опубликования: 1900202503190001
Дата опубликования: 19.03.2025
Страница №117 из 171:
Увеличить