Официальное опубликование правовых актов
ОФИЦИАЛЬНОЕ ОПУБЛИКОВАНИЕ
Постановление Главы Республики Хакасия - Председателя Правительства Республики Хакасия от 28.12.2024 № 85-ПП
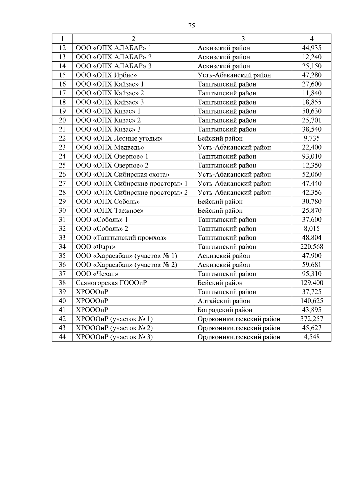
"Об утверждении схемы размещения, использования и охраны охотничьих угодий на территории Республики Хакасия и признании утратившим силу постановления Главы Республики Хакасия —_ Председателя Правительства Республики Хакасия от 04.09.2014 № 62-ПП "Об утверждении схемы размещения, использования и охраны охотничьих угодий на территории Республики Хакасия"
Номер опубликования: 1900202412280003
Дата опубликования: 28.12.2024
Страница №76 из 562:
Увеличить