Официальное опубликование правовых актов
ОФИЦИАЛЬНОЕ ОПУБЛИКОВАНИЕ
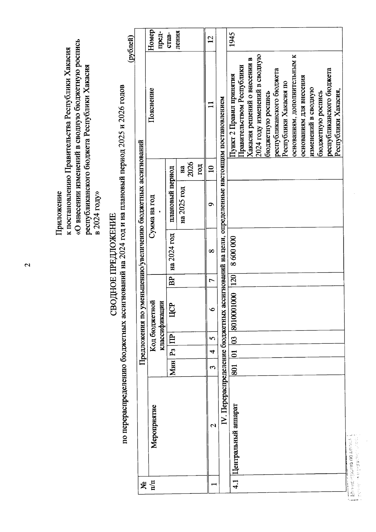
Постановление Правительства Республики Хакасия от 25.12.2024 № 799
"О внесении изменений в сводную бюджетную роспись республиканского бюджета Республики Хакасия в 2024 году"
Номер опубликования: 1900202412270006
Дата опубликования: 27.12.2024
Страница №2 из 4:
Увеличить