Официальное опубликование правовых актов
ОФИЦИАЛЬНОЕ ОПУБЛИКОВАНИЕ
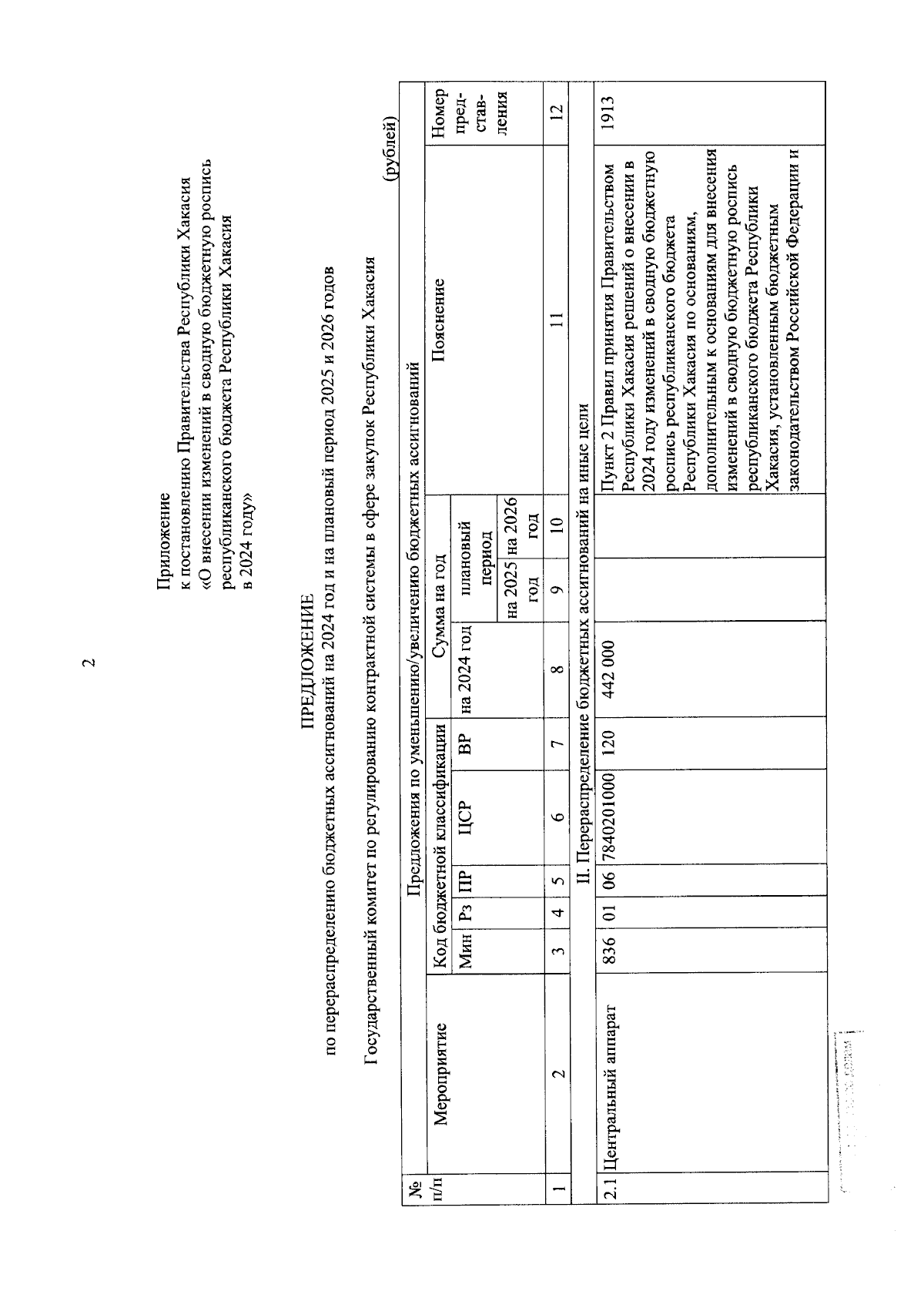
Постановление Правительства Республики Хакасия от 06.12.2024 № 730
"О внесении изменений в сводную бюджетную роспись республиканского бюджета Республики Хакасия в 2024 году"
Номер опубликования: 1900202412100012
Дата опубликования: 10.12.2024
Страница №2 из 3:
Увеличить