Официальное опубликование правовых актов
ОФИЦИАЛЬНОЕ ОПУБЛИКОВАНИЕ
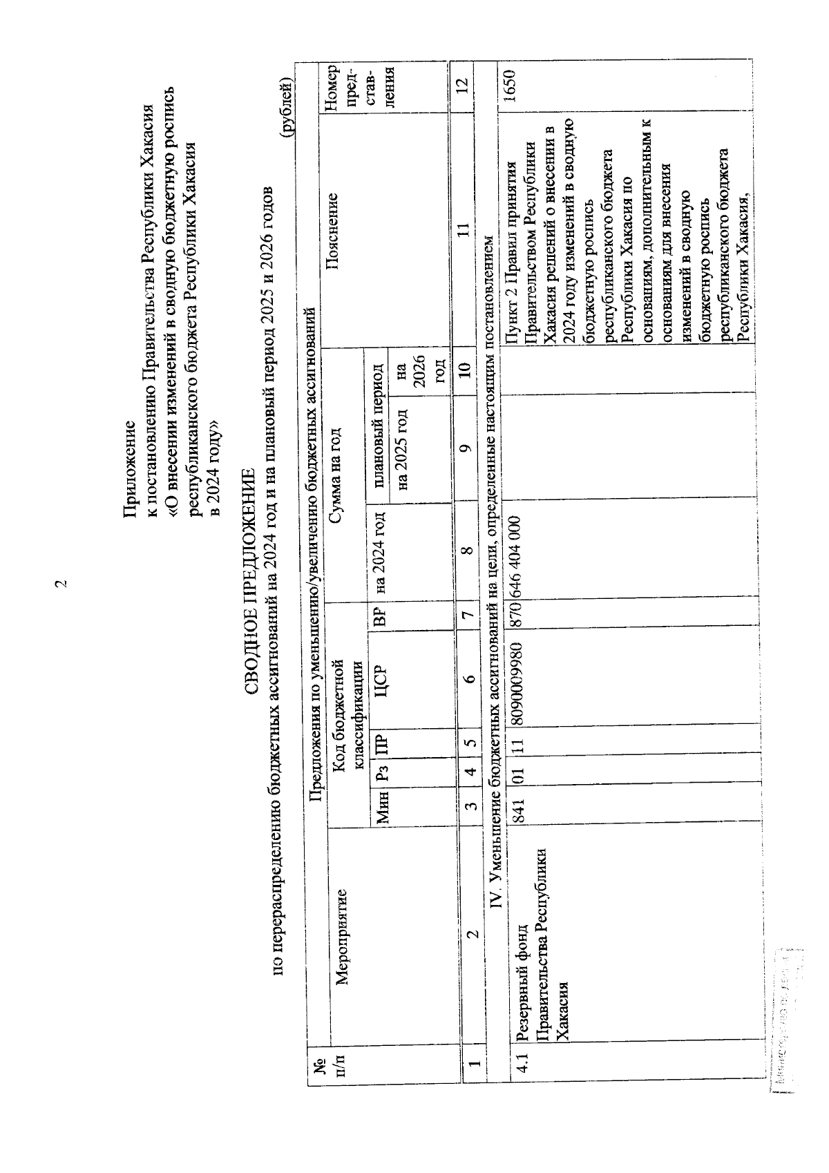
Постановление Правительства Республики Хакасия от 31.10.2024 № 655
"О внесении изменений в сводную бюджетную роспись республиканского бюджета Республики Хакасия в 2024 году"
Номер опубликования: 1900202411010006
Дата опубликования: 01.11.2024
Страница №2 из 17:
Увеличить