Официальное опубликование правовых актов
ОФИЦИАЛЬНОЕ ОПУБЛИКОВАНИЕ
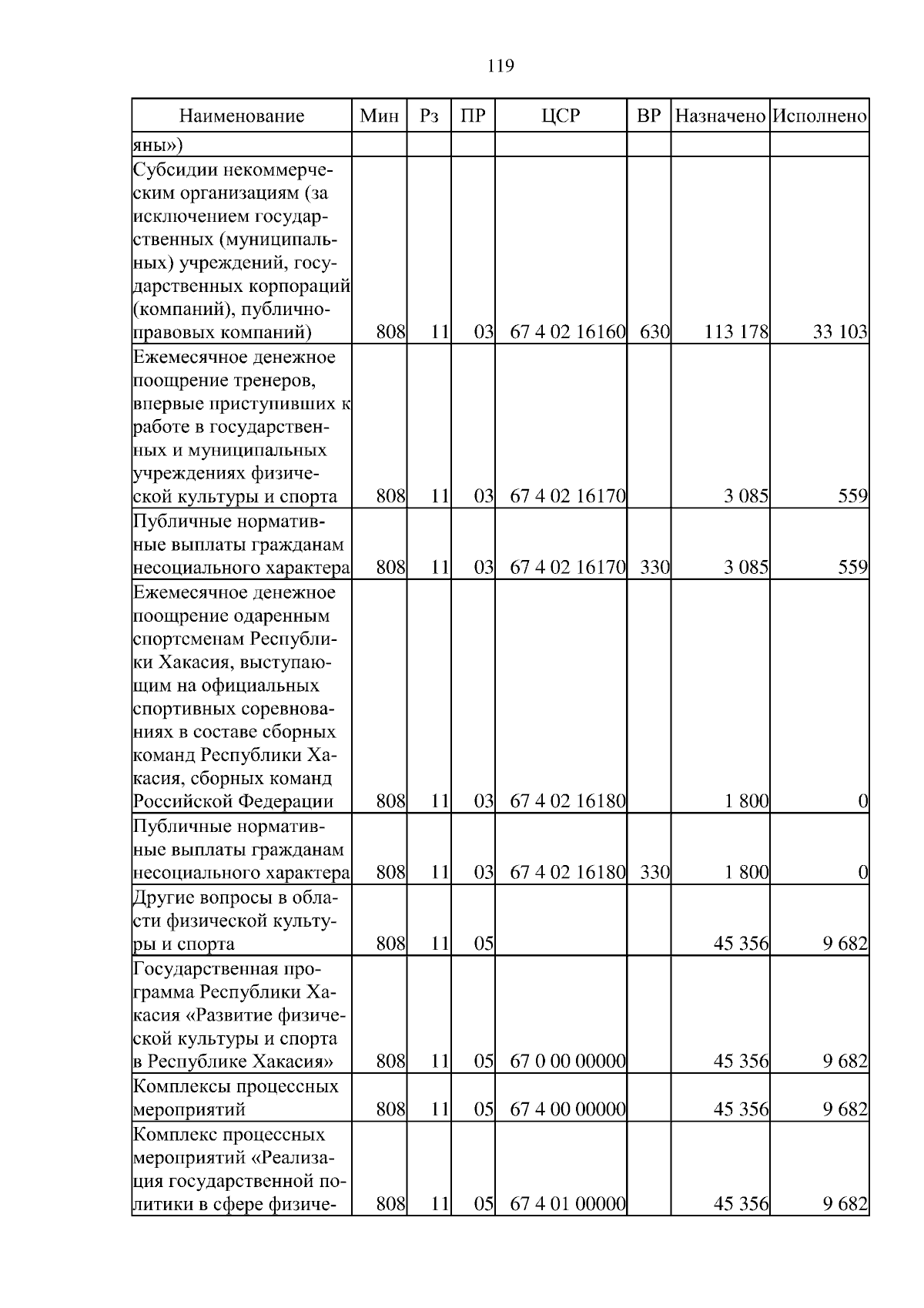
Постановление Правительства Республики Хакасия от 06.05.2024 № 289
"Об утверждении отчета об исполнении республиканского бюджета Республики Хакасия за I квартал 2024 года"
Номер опубликования: 1900202405070004
Дата опубликования: 07.05.2024
Страница №119 из 299:
Увеличить