Официальное опубликование правовых актов
ОФИЦИАЛЬНОЕ ОПУБЛИКОВАНИЕ
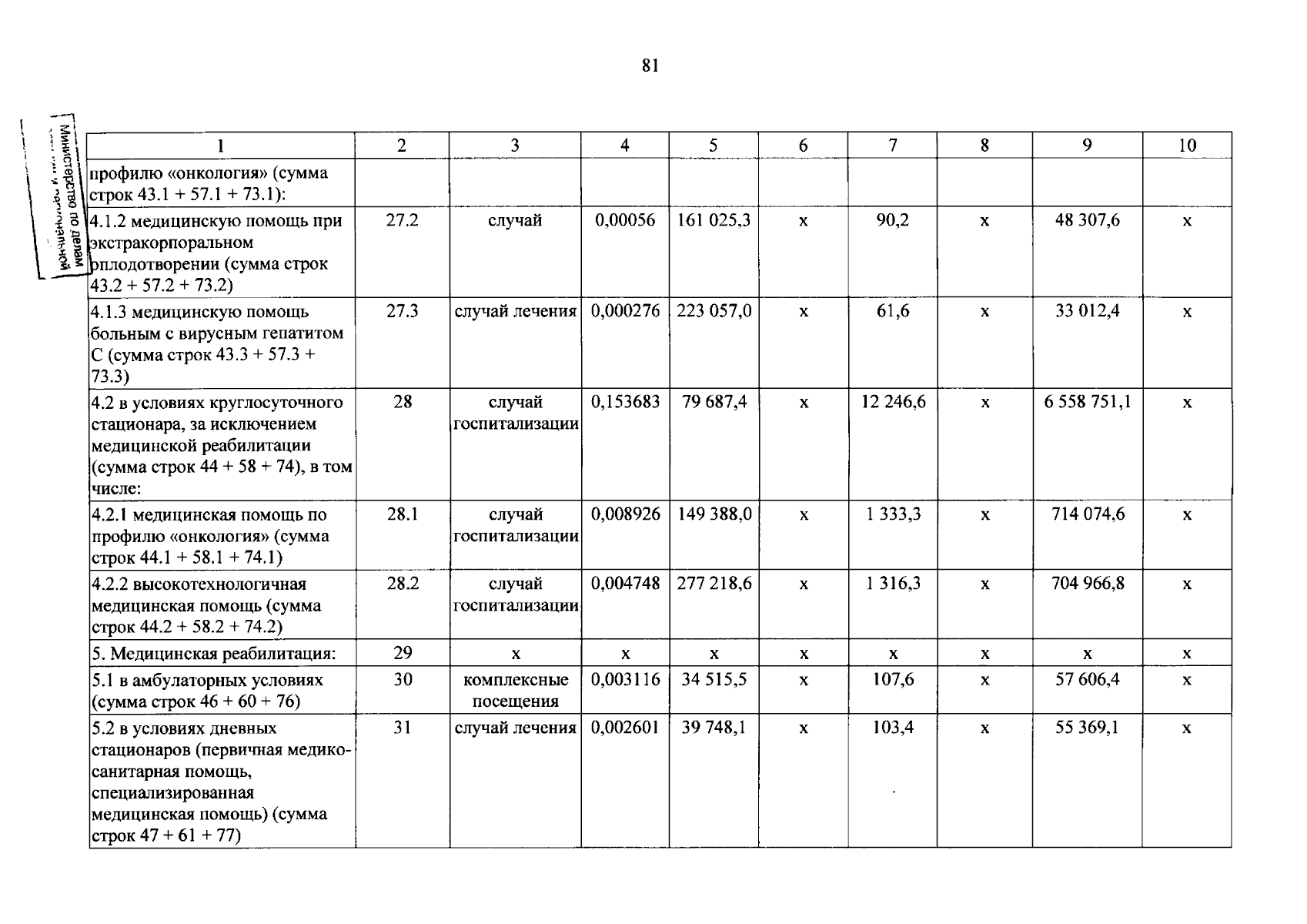
Постановление Правительства Республики Хакасия от 26.04.2024 № 282
"О внесении изменений в территориальную программу государственных гарантий бесплатного оказания гражданам медицинской помощи на территории Республики Хакасия на 2024 год и на плановый период 2025 и 2026 годов, утвержденную постановлением Правительства Республики Хакасия от 30.01.2024 № 62"
Номер опубликования: 1900202405020002
Дата опубликования: 02.05.2024
Страница №81 из 97:
Увеличить