Официальное опубликование правовых актов
ОФИЦИАЛЬНОЕ ОПУБЛИКОВАНИЕ
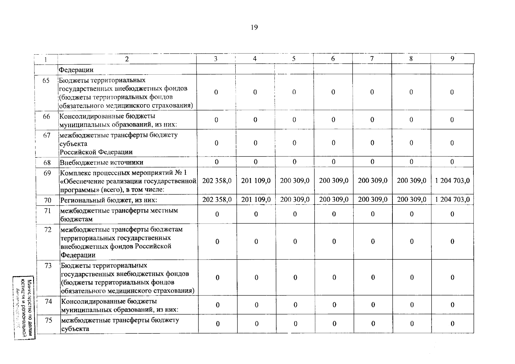
Постановление Правительства Республики Хакасия от 08.04.2024 № 232
"О внесении изменений в постановление Правительства Республики Хакасия от 01.11.2016 № 532 "Об утверждении государственной программы Республики Хакасия "Развитие транспортной системы Республики Хакасия"
Номер опубликования: 1900202404120001
Дата опубликования: 12.04.2024
Страница №19 из 208:
Увеличить