Официальное опубликование правовых актов
ОФИЦИАЛЬНОЕ ОПУБЛИКОВАНИЕ
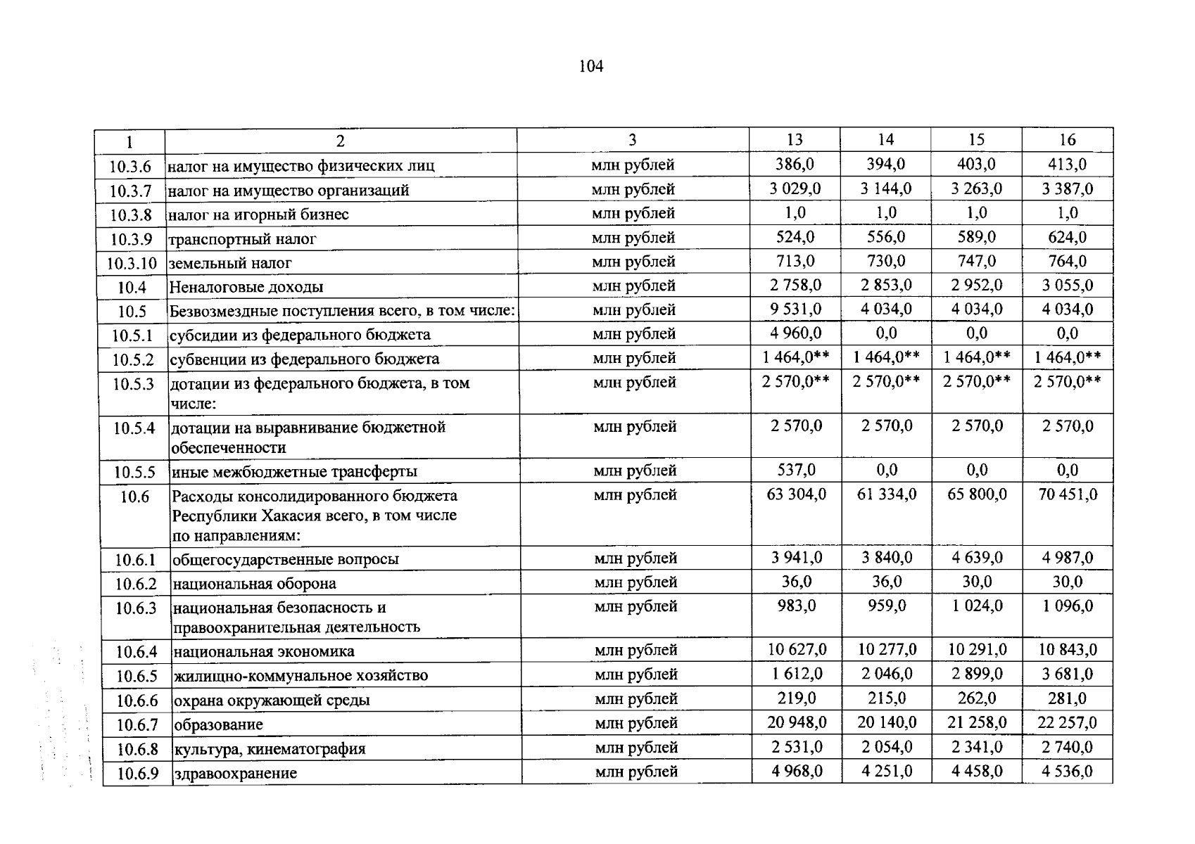
Постановление Правительства Республики Хакасия от 13.03.2024 № 173
"О внесении изменения в Прогноз долгосрочного социально-экономического развития Республики Хакасия на период до 2036 года, утвержденный постановлением Правительства Республики Хакасия от 30.12.2019 № 697"
Номер опубликования: 1900202403130004
Дата опубликования: 13.03.2024
Страница №104 из 120:
Увеличить