Официальное опубликование правовых актов
ОФИЦИАЛЬНОЕ ОПУБЛИКОВАНИЕ
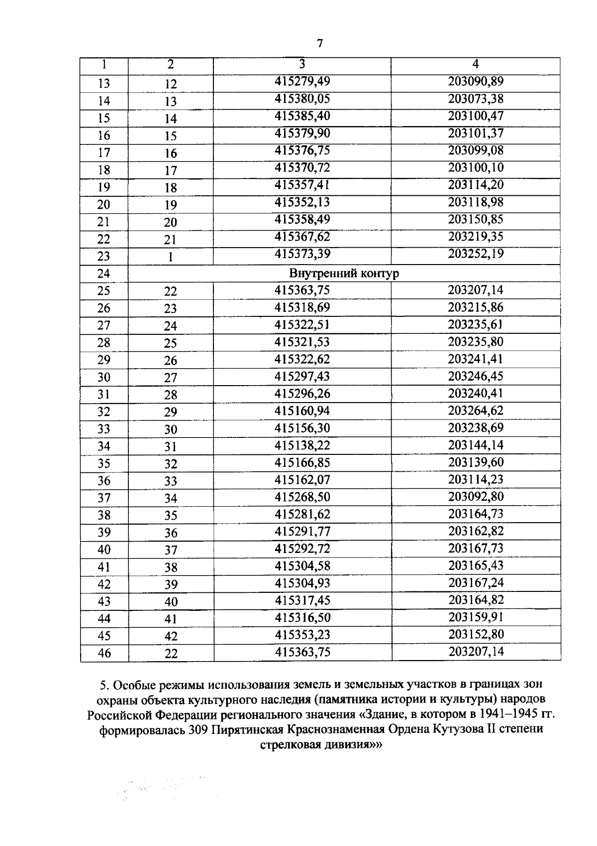
Постановление Правительства Республики Хакасия от 28.02.2024 № 145
"Об установлении зон охраны объекта культурного наследия (памятника истории и культуры) народов Российской Федерации регионального значения "Здание, в котором в 1941–1945 гг. формировалась 309 Пирятинская Краснознаменная Ордена Кутузова II степени стрелковая дивизия", особых режимов использования земель в границах зон охраны и утверждении требований к градостроительным регламентам в границах зон охраны"
Номер опубликования: 1900202402290002
Дата опубликования: 29.02.2024
Страница №7 из 12:
Увеличить