Официальное опубликование правовых актов
ОФИЦИАЛЬНОЕ ОПУБЛИКОВАНИЕ
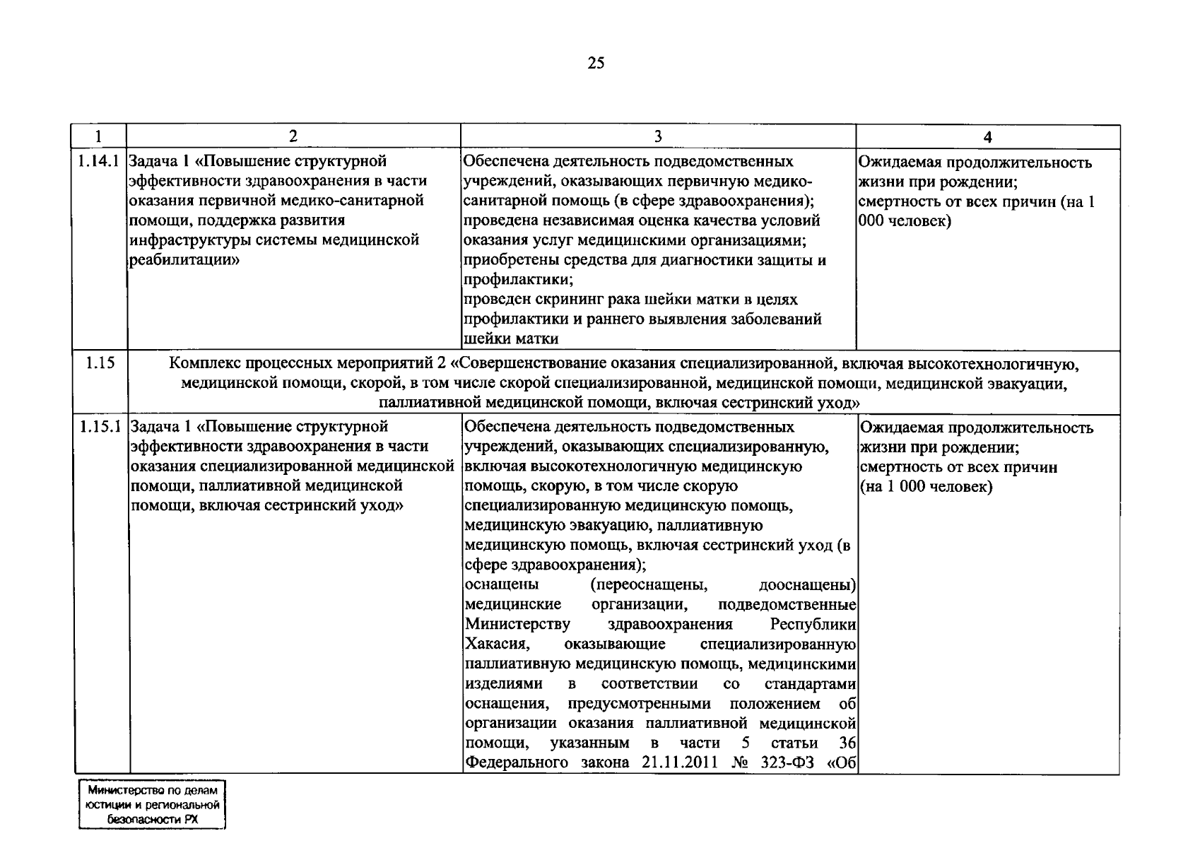
Постановление Правительства Республики Хакасия от 24.01.2024 № 41
"О внесении изменений в постановление Правительства Республики Хакасия от 13.11.2013 № 614 "Об утверждении государственной программы Республики Хакасия "Развитие здравоохранения Республики Хакасия"
Номер опубликования: 1900202401260001
Дата опубликования: 26.01.2024
Страница №25 из 167:
Увеличить