Официальное опубликование правовых актов
ОФИЦИАЛЬНОЕ ОПУБЛИКОВАНИЕ
Постановление Правительства Республики Хакасия от 26.10.2023 № 812
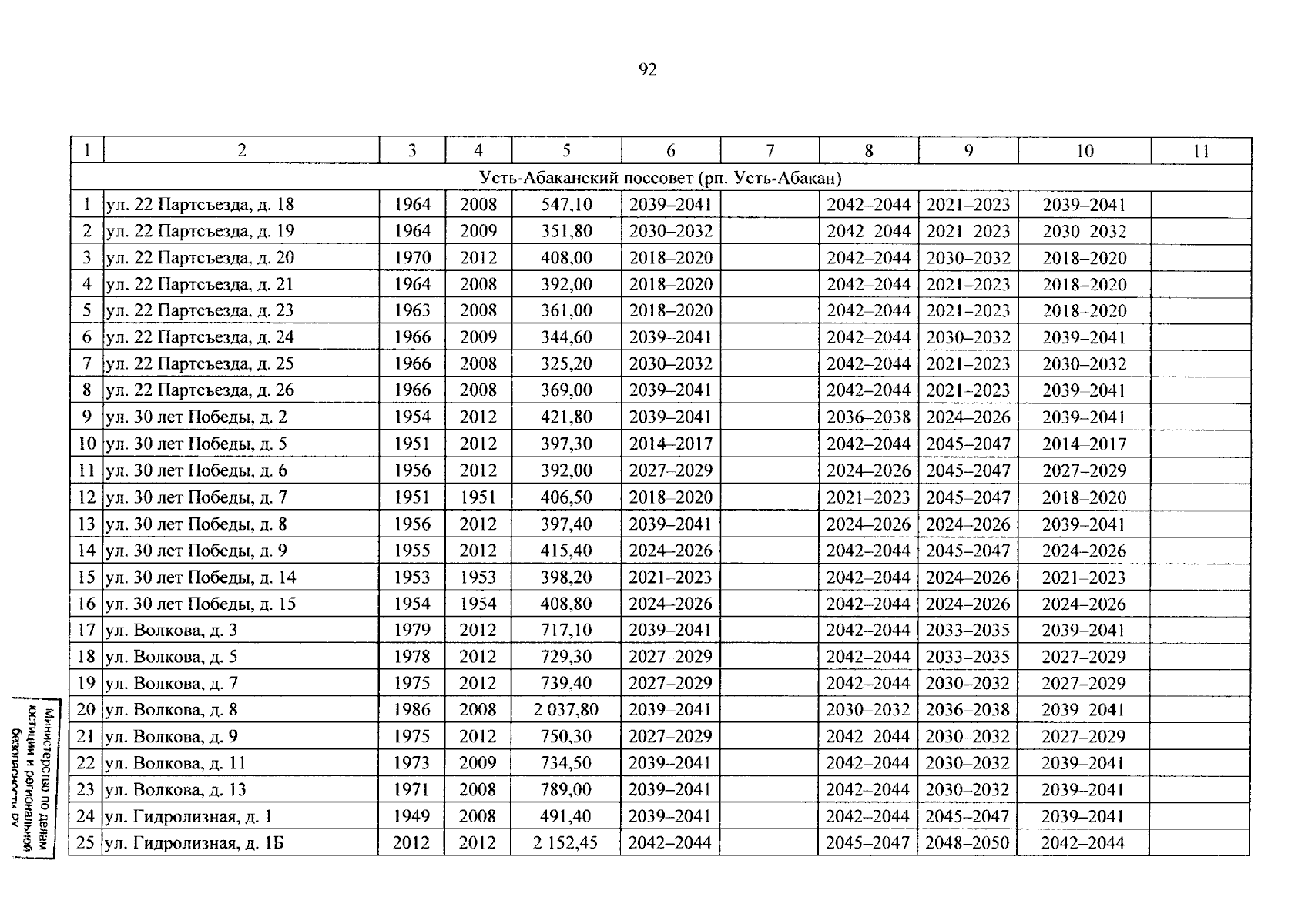
"О внесении изменений в региональную программу "Капитальный ремонт общего имущества в многоквартирных домах, расположенных на территории Республики Хакасия (2014–2050 годы)", утвержденную постановлением Правительства Республики Хакасия от 14.03.2014 № 102"
Номер опубликования: 1900202310270005
Дата опубликования: 27.10.2023
Страница №92 из 102:
Увеличить