Официальное опубликование правовых актов
ОФИЦИАЛЬНОЕ ОПУБЛИКОВАНИЕ
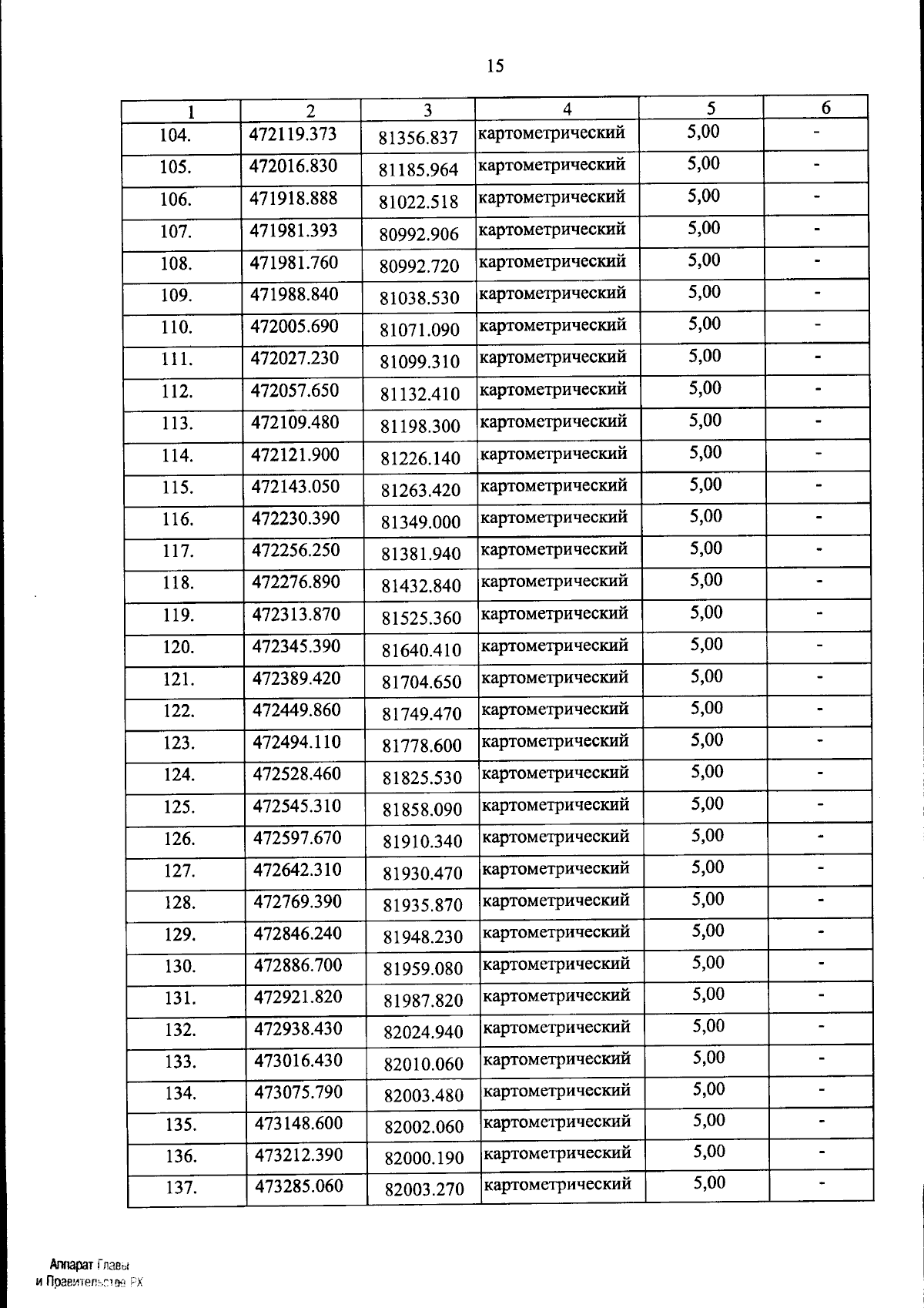
Постановление Главы Республики Хакасия - Председателя Правительства Республики Хакасия от 29.08.2023 № 41-ПП
"Об установлении охранных зон особо охраняемых природных территорий регионального значения Республики Хакасия – памятников природы "Бородинская пещера", "Ивановские озера", "Каменный лес"
Номер опубликования: 1900202308310007
Дата опубликования: 31.08.2023
Страница №15 из 38:
Увеличить