Официальное опубликование правовых актов
ОФИЦИАЛЬНОЕ ОПУБЛИКОВАНИЕ
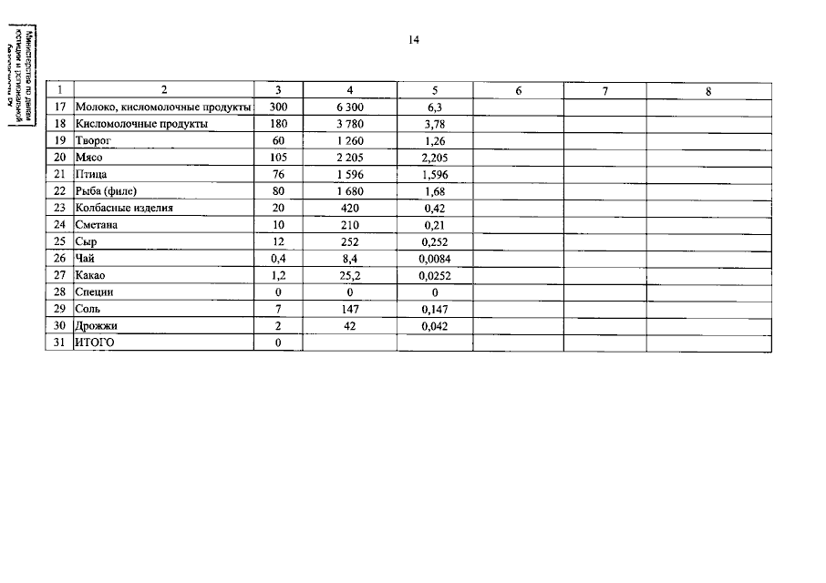
Постановление Правительства Республики Хакасия от 15.06.2023 № 459
"Об утверждении Методики определения расчетной стоимости путевки в организации отдыха и оздоровления детей и Методики определения стоимости проезда организованных групп детей на междугородном транспорте к местам отдыха и оздоровления и обратно и о признании утратившими силу некоторых постановлений Правительства Республики Хакасия"
Номер опубликования: 1900202306160008
Дата опубликования: 16.06.2023
Страница №14 из 24:
Увеличить