Официальное опубликование правовых актов
ОФИЦИАЛЬНОЕ ОПУБЛИКОВАНИЕ
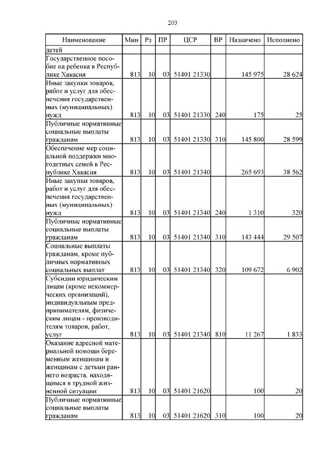
Постановление Правительства Республики Хакасия от 04.05.2023 № 339
"Об утверждении отчета об исполнении республиканского бюджета Республики Хакасия за I квартал 2023 года"
Номер опубликования: 1900202305100003
Дата опубликования: 10.05.2023
Страница №203 из 322:
Увеличить