Официальное опубликование правовых актов
ОФИЦИАЛЬНОЕ ОПУБЛИКОВАНИЕ
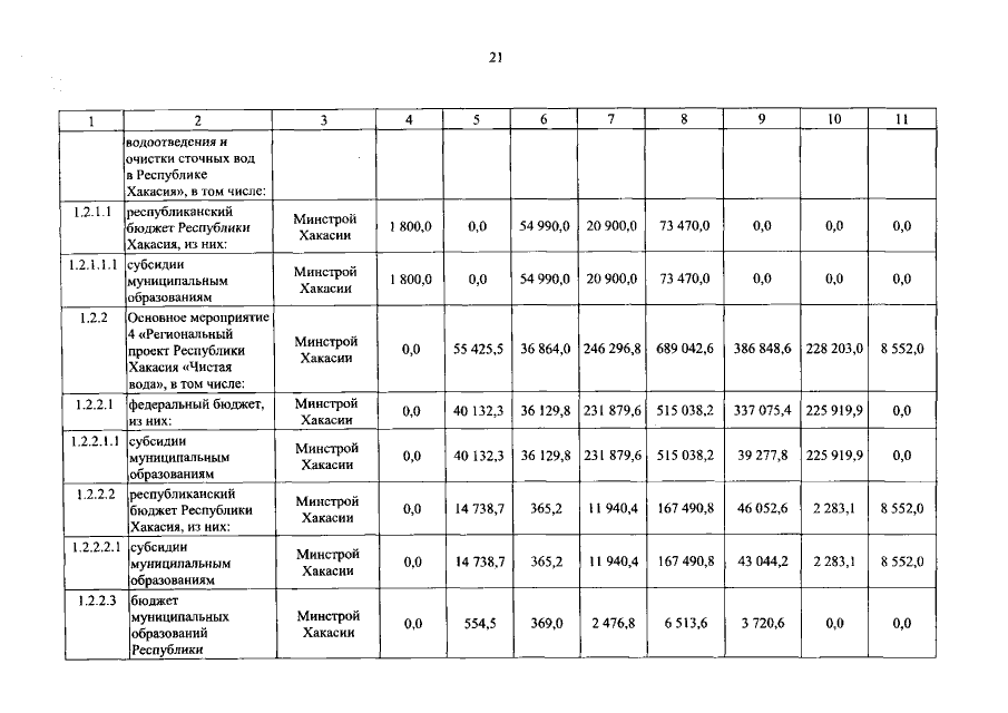
Постановление Правительства Республики Хакасия от 19.04.2023 № 296
"О внесении изменений в государственную программу Республики Хакасия "Развитие коммунальной инфраструктуры Республики Хакасия и обеспечение качественных жилищно-коммунальных услуг", утвержденную постановлением Правительства Республики Хакасия от 30.10.2017 № 556"
Номер опубликования: 1900202304210012
Дата опубликования: 21.04.2023
Страница №21 из 88:
Увеличить