Официальное опубликование правовых актов
ОФИЦИАЛЬНОЕ ОПУБЛИКОВАНИЕ
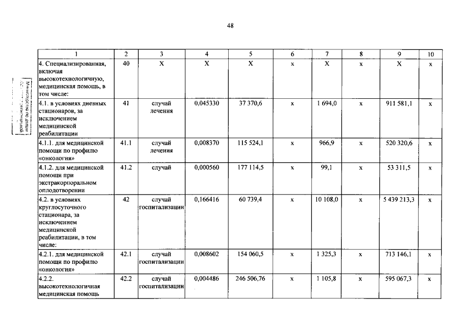
Постановление Правительства Республики Хакасия от 20.03.2023 № 201
"О внесении изменений в территориальную программу государственных гарантий бесплатного оказания гражданам медицинской помощи на территории Республики Хакасия на 2023 год и на плановый период 2024 и 2025 годов, утвержденную постановлением Правительства Республики Хакасия от 19.01.2023 № 42"
Номер опубликования: 1900202303210001
Дата опубликования: 21.03.2023
Страница №48 из 88:
Увеличить