Официальное опубликование правовых актов
ОФИЦИАЛЬНОЕ ОПУБЛИКОВАНИЕ
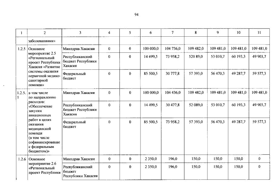
Постановление Правительства Республики Хакасия от 15.07.2022 № 432
"О внесении изменений в государственную программу Республики Хакасия "Развитие здравоохранения Республики Хакасия", утвержденную постановлением Правительства Республики Хакасия от 13.11.2013 № 614"
Номер опубликования: 1900202207190001
Дата опубликования: 19.07.2022
Страница №94 из 127:
Увеличить