Официальное опубликование правовых актов
ОФИЦИАЛЬНОЕ ОПУБЛИКОВАНИЕ
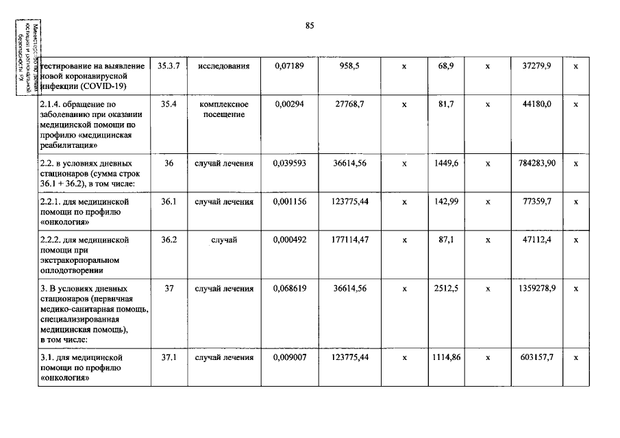
Постановление Правительства Республики Хакасия от 02.06.2022 № 319
"О внесении изменений в территориальную программу государственных гарантий бесплатного оказания гражданам медицинской помощи на территории Республики Хакасия на 2022 год и на плановый период 2023 и 2024 годов, утвержденную постановлением Правительства Республики Хакасия от 17.01.2022 № 11"
Номер опубликования: 1900202206030001
Дата опубликования: 03.06.2022
Страница №85 из 196:
Увеличить