Официальное опубликование правовых актов
ОФИЦИАЛЬНОЕ ОПУБЛИКОВАНИЕ
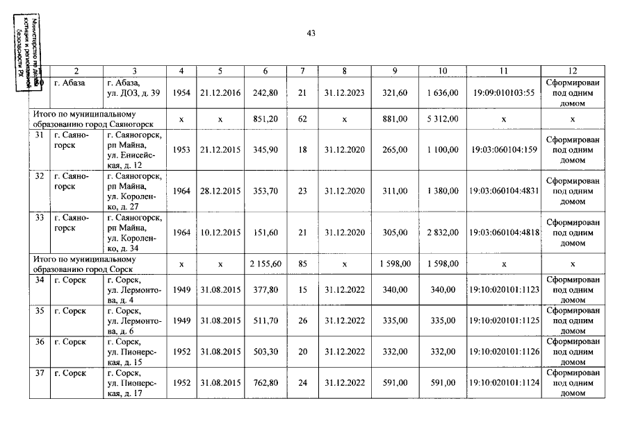
Постановление Правительства Республики Хакасия от 19.05.2022 № 276
"О внесении изменения в региональную адресную программу "Переселение граждан из аварийного жилищного фонда на территории Республики Хакасия в 2019–2023 годах", утвержденную постановлением Правительства Республики Хакасия от 28.03.2019 № 106"
Номер опубликования: 1900202205200001
Дата опубликования: 20.05.2022
Страница №43 из 70:
Увеличить