Официальное опубликование правовых актов
ОФИЦИАЛЬНОЕ ОПУБЛИКОВАНИЕ
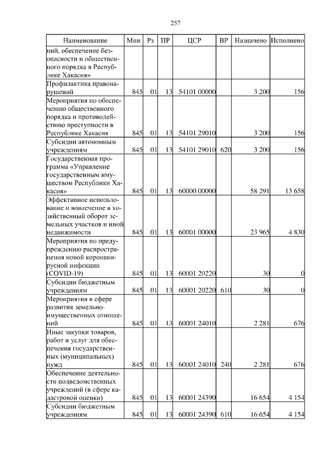
Постановление Правительства Республики Хакасия от 11.05.2022 № 253
"Об утверждении отчета об исполнении республиканского бюджета Республики Хакасия за I квартал 2022 года"
Номер опубликования: 1900202205130001
Дата опубликования: 13.05.2022
Страница №257 из 285:
Увеличить