Официальное опубликование правовых актов
ОФИЦИАЛЬНОЕ ОПУБЛИКОВАНИЕ
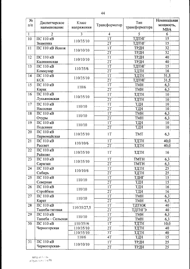
Постановление Главы Республики Хакасия - Председателя Правительства Республики Хакасия от 27.04.2022 № 31-ПП
"Об утверждении схемы и программы перспективного развития электроэнергетики Республики Хакасия на 2023-2027 годы"
Номер опубликования: 1900202204280011
Дата опубликования: 28.04.2022
Страница №44 из 143:
Увеличить