Официальное опубликование правовых актов
ОФИЦИАЛЬНОЕ ОПУБЛИКОВАНИЕ
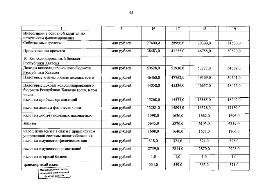
Постановление Правительства Республики Хакасия от 25.02.2022 № 80
"О внесении изменения в Прогноз долгосрочного социально-экономического развития Республики Хакасия на период до 2036 года, утвержденный постановлением Правительства Республики Хакасияот 30.12.2019 № 697"
Номер опубликования: 1900202202280006
Дата опубликования: 28.02.2022
Страница №95 из 154:
Увеличить