Официальное опубликование правовых актов
ОФИЦИАЛЬНОЕ ОПУБЛИКОВАНИЕ
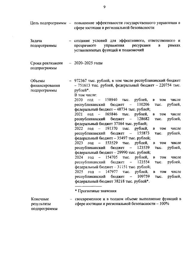
Постановление Правительства Республики Хакасия от 29.12.2021 № 714
"О внесении изменений в государственную программу Республики Хакасия "Обеспечение общественного порядка и противодействие преступности в Республике Хакасия", утвержденную постановлением Правительства Республики Хакасия от 01.11.2016 № 533"
Номер опубликования: 1900202201010003
Дата опубликования: 01.01.2022
Страница №9 из 44:
Увеличить