Официальное опубликование правовых актов
ОФИЦИАЛЬНОЕ ОПУБЛИКОВАНИЕ
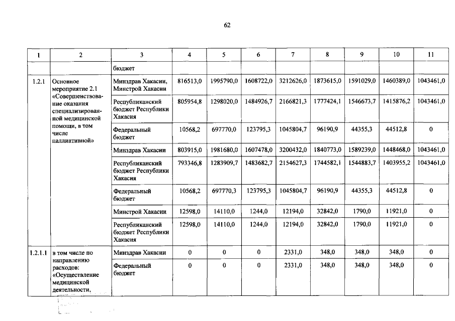
Постановление Правительства Республики Хакасия от 03.11.2021 № 565
"О внесении изменений в государственную программу Республики Хакасия "Развитие здравоохранения Республики Хакасия", утвержденную постановлением Правительства Республики Хакасия от 13.11.2013 № 614"
Номер опубликования: 1900202111100006
Дата опубликования: 10.11.2021
Страница №62 из 103:
Увеличить