Официальное опубликование правовых актов
ОФИЦИАЛЬНОЕ ОПУБЛИКОВАНИЕ
Постановление Правительства Республики Хакасия от 13.03.2020 № 113
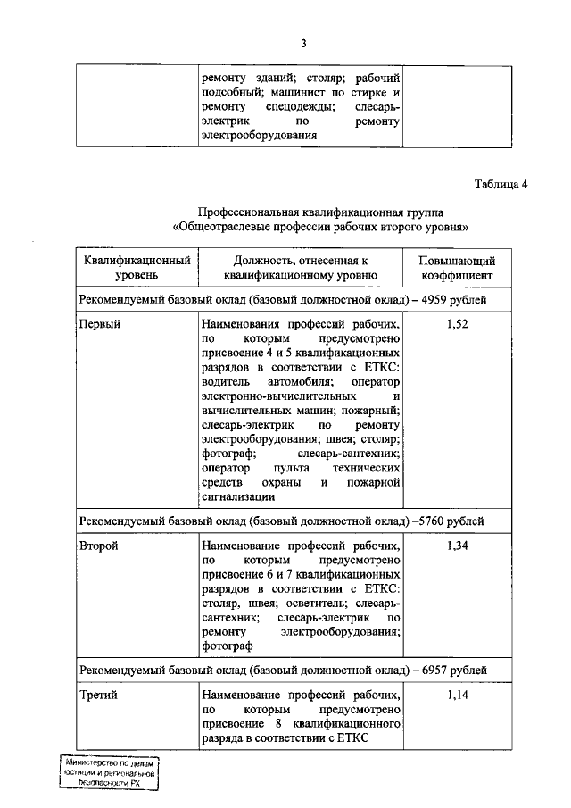
"О внесении изменений в постановление Правительства Республики Хакасия от 07.04.2016 № 150 "Об утверждении примерных положений об оплате труда работников республиканских государственных учреждений культуры, искусства, образовательных и иных учреждений, подведомственных Министерству культуры Республики Хакасия"
Номер опубликования: 1900202003170008
Дата опубликования: 17.03.2020
Страница №3 из 4:
Увеличить