Официальное опубликование правовых актов
ОФИЦИАЛЬНОЕ ОПУБЛИКОВАНИЕ
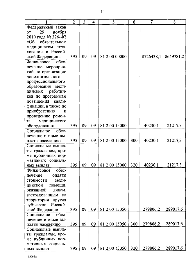
Закон Республики Хакасия от 10.06.2019 № 38-ЗРХ
"Об исполнении бюджета Территориального фонда обязательного медицинского страхования Республики Хакасия за 2018 год"
Номер опубликования: 1900201906110005
Дата опубликования: 11.06.2019
Страница №11 из 13:
Увеличить