Официальное опубликование правовых актов
ОФИЦИАЛЬНОЕ ОПУБЛИКОВАНИЕ
Постановление Правительства Республики Хакасия от 14.11.2018 № 536
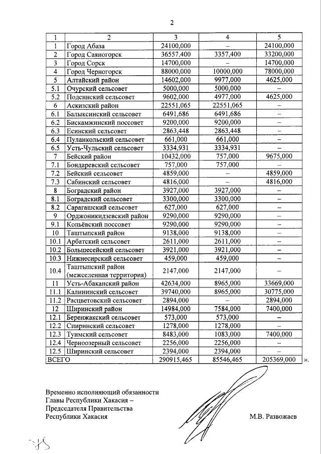
"О внесении изменения в таблицу приложения к постановлению Правительства Республики Хакасия от 18.01.2018 № 14 "О распределении субсидий из республиканского бюджета Республики Хакасия бюджетам муниципальных образований Республики Хакасия на капитальный ремонт, ремонт автомобильных дорог общего пользования местного значения городских округов и поселений, малых и отдаленных сел Республики Хакасия на 2018 год"
Номер опубликования: 1900201811160001
Дата опубликования: 16.11.2018
Страница №2 из 2:
Увеличить