Официальное опубликование правовых актов
ОФИЦИАЛЬНОЕ ОПУБЛИКОВАНИЕ
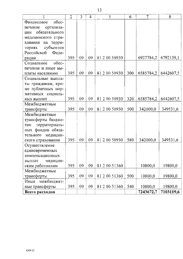
Закон Республики Хакасия от 09.06.2018 № 33-ЗРХ
"ОБ ИСПОЛНЕНИИ БЮДЖЕТА ТЕРРИТОРИАЛЬНОГО ФОНДА ОБЯЗАТЕЛЬНОГО МЕДИЦИНСКОГО СТРАХОВАНИЯ РЕСПУБЛИКИ ХАКАСИЯ ЗА 2017 ГОД"
Номер опубликования: 1900201806140003
Дата опубликования: 14.06.2018
Страница №13 из 14:
Увеличить