Официальное опубликование правовых актов
ОФИЦИАЛЬНОЕ ОПУБЛИКОВАНИЕ
Постановление Правительства Республики Хакасия от 23.10.2017 № 543
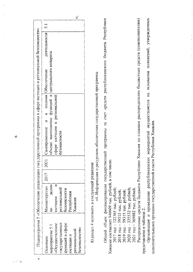
"О внесении изменений в государственную программу Республики Хакасия "Обеспечение общественного порядка и противодействие преступности в Республике Хакасия (2017–2021 годы)", утвержденную постановлением Правительства Республики Хакасия от 01.11.2016 № 533"
Номер опубликования: 1900201710250002
Дата опубликования: 25.10.2017
Страница №6 из 13:
Увеличить