Официальное опубликование правовых актов
ОФИЦИАЛЬНОЕ ОПУБЛИКОВАНИЕ
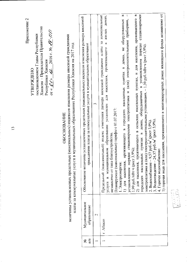
Постановление Главы Республики Хакасия - Председателя Правительства Республики Хакасия от 01.12.2016 № 86-ПП
"Об утверждении предельных (максимальных) индексов изменения размера вносимой гражданами платы за коммунальные услуги в муниципальных образований Республики Хакасия на 2017 год"
Номер опубликования: 1900201612060002
Дата опубликования: 06.12.2016
Страница №13 из 70:
Увеличить